近年来,随着国家双碳战略的推进,热固性高分子材料的可持续发展成为行业研究热点。传统石油基热固性树脂因不可逆交联网络结构特点,导致其存在难降解回收、资源利用率低等问题。碳纤维增强树脂基复合材料作为高端领域核心材料,其基体的不可回收性更是带来材料全生命周期不可持续性的技术瓶颈。此外,传统碳纤维复材回收方法还面临回收产物附加值低、碳纤维易受损等弊端。如何以可再生生物质为原料,设计兼具高强力学性能、高热稳定性与可回收的新型热固性树脂基体,已成为推动先进碳纤维复合材料绿色化发展的关键挑战。
江苏大学张侃教授团队在国际期刊《Advanced Functional Materials》发表题为“Strong, Reprocessable and Chemically Recyclable Biomass-Derived Thermoset Materials Enabled by Dynamic Covalent Polybenzoxazine Networks”的研究论文。博士研究生谢琳为论文第一作者,张侃教授为论文通讯作者,江苏大学为论文唯一通讯单位。该研究得到国家重点研发计划、国家自然科学基金等项目支持。
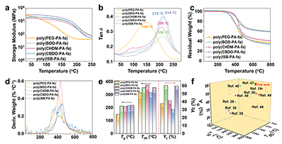
该团队提出基于生物质平台化合物构筑动态共价键聚苯并噁嗪交联网络的设计策略,以1,4-丁二醇、根皮酸、糠胺等可再生生物质为原料,通过无溶剂酯化与曼尼希缩合两步法,合成了一系列含动态酯基的苯并噁嗪单体。研究通过酯键的引入赋予材料动态交换与可降解特性,同时利用苯并噁嗪开环形成的富氢键交联网络,弥补了动态键引入导致材料性能下降问题,实现了热固性树脂高性能与可持续性的双重突破。以新型苯并噁嗪单体为基体制备了碳纤维增强复合材料,达成材料温和降解、碳纤维无损回收及降解产物的高值化利用(图1)。固化行为研究表明,苯并噁嗪单体兼具宽加工窗口与低粘度特性,为复合材料成型提供了优异的工艺适配性(图2)。热机械与热稳定性研究表明,树脂固化物综合性能突出,玻璃化转变温度达208 ℃,热分解温度Td5 为349 ℃,800 ℃下残炭率高达59%,性能显著优于近期报道的多数动态热固性材料(图 3)。同时,动态酯交换可驱动树脂固化物发生结构网络重排,其应力松弛表观活化能为134 kJ mol-1,赋予材料优异的可再加工性(图 4)。碳纤维复合材料性能研究表明,以新型苯并噁嗪树脂为基体制备的碳纤维复材性能表现优异,其拉伸强度可达500.8 MPa,弯曲模量达33.3 GPa,玻璃化转变温度高达220 ℃(图 5)。碳纤维复合材料的化学降解与可回收性研究表明,该复合材料于60 ℃下在有机碱—甲醇溶液体系中42 h内可完全降解,不仅实现碳纤维形貌结构无损特征,其降解产物还可进一步作为胶粘剂应用于铝等多种基材,实现资源升级利用(图6)。该研究不仅为可持续先进热固性材料的开发提供了全新思路,更为航空航天、汽车制造等高端领域的绿色升级奠定了理论与技术基础。

图1. 高性能动态热固性树脂基碳纤维复合材料研究思路

图2. 固化加工行为研究

图3. 热机械与热稳定性能研究

图4. 应力松弛与重塑性能研究

图5. 苯并噁嗪树脂基碳纤维复合材料的制备与性能研究

图6. 苯并噁嗪基碳纤维复合材料的化学降解与可回收性研究
该研究工作得到了国家重点研发计划、国家自然基金等项目的资助。
原文链接:http://doi.org/10.1002/adfm.75273
- 江苏大学张侃教授团队 Angew:基于双重动态共价键构筑可回收、耐高温且本征阻燃型生物基聚苯并噁嗪类玻璃体 2026-02-25
- 中山大学张泽平/阮文红/容敏智/章明秋 AM:动态共价键辅助3D打印一体化多孔阴极/复合聚合物电解质-实现超长寿命固态锂金属电池 2025-08-01
- 武汉纺织大学于志财团队 Adv. Fiber Mater.:基于动态共价键自修复热电纤维的制备及无源温度传感应用 2024-04-27
- 中北大学王智教授团队 Polym. Chem.:含二腙基动态键的生物基可降解聚苯并噁嗪的制备及性能 2025-06-19
- 中北大学王智教授团队 Polymer:基于燃烧合成法的苯并噁嗪低温固化的研究 2025-05-28
- 中北大学王智教授团队、青岛大学张丛筠副教授 Polymer:一种高频低介电、高耐热聚苯并噁嗪的结构与性能 2024-10-23
- 华南理工大学刘岚教授团队 Nat. Commun.:多尺度结构打造高强、超韧、可持续聚氨酯胶粘剂 2026-05-11