李周波,张松,黄洁
(海军后勤技术装备研究所,北京100072)
Development of the electromagnetic shielding conductive coatings
LI Zhou-bo, ZHANG Song, HUANG Jie
(Navy Logistic Technology and Equipment Institute of PLA, Beijing 100072, China)
Abstract:In this paper, the various harms of electromagnetic radiation and the necessity of applying electromagnetic shielding are comprehensively expounded. The mechanisms, compositions, and categories of the electromagnetic shielding conductive coatings are summarized,including the factors that affect the electromagnetic shielding
effectiveness. The study and development of electromagnetic shielding conductive coatings at present are discussed.Finally, the existent main problems and the new trend in this field are indicated.
Key words:electromagnetic shielding;conductive coating;shielding effectiveness
摘要:本文全面阐述了电磁辐射的种种危害及实施电磁屏蔽的必要性,阐述了电磁导电屏蔽涂料的屏蔽机理、组成、种类及影响屏蔽效果的种种因素,介绍
了电磁屏蔽导电涂料的研究现状,并指出了现存主要问题及新的发展趋势。
关键词:电磁屏蔽;导电涂料;屏蔽效能。
中图分类号:TQ63 TM27 文献标识码:A
文章编号:1001-9731(2004)增刊-0921-04
1 引言
着电子工业的迅速发展,各种家用电器、办公微机、仪器设备等电子产品得到了广泛的普及与应用。然而它们的工作给人们带来极大便利的同时也释
放出大量的电磁辐射,危害着人们的健康[1]。研究表明,人们长期暴露在较强的电磁场辐射中会导致细胞功能异常及细胞状态异常,致使神经衰弱及神经功能紊乱、内分泌失调,严重的甚至诱发癌变。此外,电磁辐射在体内形成热效应可导致白内障的产生,视力下降,甚至失明。目前,电磁波辐射对人体造成的损害机理正不断深入进行,电磁污染的防护与治理也日益受到人们的普遍关注和重视。此外,电磁辐射对电子产品本身也存在着极大的危害。一方面,工程塑料以其价廉、质轻、易加工的优点被广泛用作电子产品的外壳,但其对电磁波几乎是完全透明的,对电磁干扰毫无屏蔽作用。另一方面,电子产品内部微电流控制信号的功率与外部的电磁波噪音的功率相近,极易受到干扰而出现操作失误、系统瘫痪等严重后果,同时这些电子产品本身对外发射的电磁波也会对邻近的电子设备产生干扰。为此世界各国纷纷出台抗电磁干扰的相关法令法规。我国也于1998 年推行了电磁兼容(EMC)标准,现已将产品的电磁兼容性要求纳入了国家强制性产品认证范围,规定从2003 年5 月1 日起,凡列入国家强制性产品认证目录的产品未经认证不得出厂、进口和销售。
辐射还给信息安全带来了极大的隐患。计算机等科研设备在工作时会通过电磁波将有用信息泄漏出去[2],从而导致信息泄密,可能造成重大的政治、经济和军事损失,危害国家安全。研究表明,普通未采取屏蔽处理的计算机,在工作时辐射出带信息的电磁波,可在一公里外被接受和复现,这是国外情报部
门收集情报的最主要的手段。伊拉克战争揭示出信息电子战已经成为决定当今战争胜败的重要因素。一方面,军事电子装备和作战武器平台必须具备可靠的抗干扰性和隐身性能;另一方面,自身的信号辐射、泄漏,应尽可能降低,以保证军事信息及自身的安全性。电磁辐射对社会正常运行构成的危害已经引起
人们的极大重视,对电子设备采取有效的屏蔽手段既可以有效的阻止外界入射电磁波的干扰,又可防止电器装置、仪器在工作时产生电磁波辐射危害作业人员和干扰其他设备,以及避免信息外泄。因此世界各国纷纷大力开展电磁屏蔽技术及屏蔽材料的研究,如:屏蔽涂料、电镀、真空金属镀铝等。其中电磁波屏蔽涂料以其选材广泛、施工方便灵活、实用性强及性价比高等特点而倍受青睐。统计表明,1998 年,在美国使用电磁屏蔽涂料方法占各种屏蔽方法的78%[3]。
2 电磁屏蔽基本原理
如图1 所示电磁屏蔽的基本原理是:采用低电阻的导体材料,并利用电磁波在屏蔽导体表面的反射和在导体内部的吸收以及传输过程中的损耗而使电磁
波能量的继续传递受到阻碍,以致削弱到不能干扰仪器工作的程度,起到屏蔽作用。良好的屏蔽材料可将大部分入射波反射掉,利用内部吸收及多重反射损耗掉部分进入材料的电磁波,只允许极少量的电磁波透过材料继续传播。

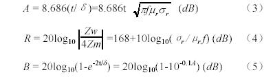
波通过屏蔽材料的总屏蔽效果由屏蔽效能来表示,其定义为对给定外来源进行屏蔽时,在某一点上屏蔽体安装前后的电场或磁场强度之比,即屏蔽体对电磁信号的衰减程度,其值大小表示材料的屏蔽效果好坏,通常用分贝表示。即[4]:

其中,PI、EI分别为入射功率密度和入射电场强度;PT、ET为透过的功率密度和电场强度。如图1 所示,电磁屏蔽效能由反射损耗、吸收损耗及多重反射损耗组成。即[5]
SE=A+R+B (dB) (2)
式中: A为吸收衰减; R为在屏蔽体表面的反射衰减; B为内部多次反射衰减(当在A 大于15dB 时可忽略不计)。
电磁辐射场区按以场源为中心,一个波长为半径的圆可划分为近区场和远区场。近区场的电磁场强度比远区场大得多。从这个角度上说,电磁防护的重点应该在近区场。对我们最经常接触的从短波段30MHz到微波段的3000MHz 的频段范围,其波长范围从10~1m。
式中,t为屏蔽体厚度(cm);f为频率(Hz);µr为材料的比磁导率,σr为材料的比电导率。所以,A随t、fµrσr增大而增大;R随σr/µrf增大而增大,所以材料的导电性好,也即材料的电阻率越低,吸收及反射损耗均增大,屏蔽性能就好。
美国国家安全局(NSA)规定,有效屏蔽下限为40dB,相对应体积电阻率约为10-4Ω·m,表面电阻率约为0.5Ω/□。在实际应用中,决定最佳的屏蔽方案应当综合考虑所需的屏蔽等级及涂料涂覆底材后的屏蔽效果、物理机械性能,在满足屏蔽要求的前提下尽可能降低成本,同时具有良好的物理机械性能。
3 电磁屏蔽涂料的导电机理
电磁屏蔽涂料按其组成及导电机理可分为本体型和添加型两大类。
本体型电磁屏蔽涂料是指涂料中成膜高分子化合物本身具有导电性,无需再添加其他导电性组分。导电高聚物具有质量轻、可通过分子设计进行电阻率调节等优点,但现阶段由于合成及加工困难,成本高,应用受到限制,在现阶段仅限于实验室研究,尚未有商业化产品出现。
目前,所说的电磁屏蔽涂料一般是指添加型电磁屏蔽涂料。采用绝缘高聚物为成膜物,加入导电填料提供自由载流子而使其具有导电性。其电荷的传导方式有两种,一是粒子间相互搭桥形成通路;二是当粒子间距离极小时(10nm 以内),由于产生“隧道效应”,尽管中间隔有聚合物薄膜,载流子也有足够能量穿越该能量壁垒在粒子间传递。因此,屏蔽涂料的导电性主要取决于填料在聚合物基料中的分散状态,也即导电回路如何形成及导电回路如何导电两个方面。
4 电磁屏蔽涂料的研究现状
添加型电磁屏蔽涂料由基料、导电填料、溶剂和添加剂组成。
基料是导电涂料的重要组成部分,首先应当按照所要涂敷(或屏蔽)的底材性质选取,以获得良好的物理机械性能;其次应当使添加的导电填料在其中得到充分分散,形成导电回路,产生屏蔽效果。对同一种导电填料,聚合物的临界润湿表面张力较小时,有利于聚合物对填料粒子的润湿与分散,使导电粒子间接触总数增加,从而易于导通,减少了导电填料的渗流临界值。由于导电粒子间接触数增加,使涂层的最高电导率也增加。此外,聚合物分子量也影响分散性及导电粒子间间隙的厚度,从而影响涂层导电性。在满足涂层物理机械性能要求的前提下,相对分子质量以小为佳。
常用的合成树脂有丙烯酸树脂、环氧树脂、聚氨酯、酚醛和聚酰亚胺树脂等。
根据导电填料种类的不同,主要可分为银系、碳系、镍系和铜系电磁屏蔽涂料等。常见金属的导电性能如表1 所示。

4.1 银系导电填料
银是最早开发的导电填料。银系涂料的导电性最好,氧化速度慢且氧化产物可导电,导热性好,耐介质性能极佳, 屏蔽效果极佳( 表面电阻率低于0.010Ω/cm,可在高达10GHz的范围内达75dB以上)。但银作为导电填料也存在着一些问题:价格昂贵,限制其只在屏蔽要求极其严格的环境下使用;银的迁移会给电子产品小型化带来困难。所谓银的迁移,是当银作为电极而有直流电流流过时,从阳极来的银在阴极呈树枝状生长,导致短路的现象。防止银迁移的最有效的方法是尽量减少涂层中的水分。最近,赵斌等[6]采用AgNO3与水合肼液相还原法制备了超细银粉应用于导电涂料,可减少银粉用量和保持涂料良好的导电性。高晓敏等研究了引入分散剂与偶联剂对导电涂料屏蔽性能的影响[7]。
4.2 铜系导电填料
铜粉的价格适中,导电性也极好,但因在空气中易被氧化,且氧化物不导电而受到制约。现阶段铜粉抗氧化技术取得了很大的进步,是目前最具商业价值的导电填料。目前铜粉抗氧化的技术主要有:
(1)表面镀覆惰性金属(Ag、Al、Ni等)[8];
(2)加入还原剂将铜粉表面的氧化铜还原;
(3)有机磷化物处理;
(4)聚合物稀溶液处理;
(5)用偶联剂处理[9]。
实际应用时,为了达到较好的抗氧化效果,可以综合运用上述方法。表面用银包覆为现阶段应用最广泛的方法,其表面电阻率可达0.075~0.10Ω/cm,在超过1GHz的范围内屏蔽性能可达75dB。[10]
4.3 镍系导电填料
镍粉的价格也比较适中,其抗氧化性介于银粉和铜粉之间,因此在使用过程时无需作抗氧化处理,良好的硬度给涂膜提供了优异的耐久性能。镍的导电性能较银、铜低,其表面电阻率为1Ω/cm□,屏蔽效果最高可达60~65dB(5~1800 MHz),镍系涂料在低频区(低于30MHz)的屏蔽效果不如铜系涂料。但镍系涂料导磁率高,磁矢量的衰减幅度大,吸收电磁干扰能力强。镍具有优良的抗氧化性、抗化学腐蚀性等完全可以满足应用要求,因此镍系电磁屏蔽涂料在涂料类中占有较大的比重[11]。美国Acheson公司生产的Electrodag 550 型镍基屏蔽涂料已应用达20 年之久。近年来,国内四川大学对镍系导电涂料进行了大量的
研究,取得了极大的进展[12]。
4.4 碳系导电填料
碳类导电填料主要包括炭黑和石墨。按形状划分,主要有粉体和纤维两大类。在制造导电涂料时,常将石墨与炭黑混合使用或将性能不同的炭黑混合使用,以满足不同的使用要求。由于碳类导电填料属于半导体,所形成的涂料的导电率远小于金属类填料形成的导电涂料,其表面电阻率为30~50Ω/cm,屏
蔽效果最高可达30~50dB(50~450MHz),仅在对屏蔽要求较低的环境使用以节省成本。但近年来,对超细炭黑的研究取得了一系列成果,大大改善了其屏蔽
性能。美国已开发出一种超细炭黑,可用于制造电磁屏蔽材料。如Cabot公司的“Super-Conductive”炭黑和哥伦比亚化学公司的“Conductex40-220”炭黑。日
本三菱人造丝公司研制的超细碳黑/PP,其密度为118g/cm3,其屏蔽效果达到40dB,被誉为世界上最轻的电磁屏蔽材料。
4.5 复合导电填料
为了降低导电填料的成本,提高导电性能,常采用复合导电填料。复合导电填料按形状可分为复合粉末和复合纤维。根据芯核物质的不同,金属包敷型复合粉末可分为金属-金属(如Ag/Cu)、金属-非金属(如Cu/石墨)和金属-陶瓷(如Ag/SiO2)3 种类型。此外还有金属氧化物包敷型复合粉末。复合纤维有多种,如尼龙、玻璃丝、碳纤维等镀敷金属或金属氧化物等。此类导电填料一般作为上述几种主要填料添加成分使用,对导电涂料的屏蔽性能进行微调,以灵活适应各种情况的需要。
现将国内外几种代表性的电磁屏蔽涂料列于表2[13]。
5 结论及展望
随着电子工业的飞速发展,人们对电磁辐射的危害的认识不断提高,对高性能屏蔽材料的需求也与日俱增。但现阶段高屏蔽性能涂料品种主要集中于银系、镀银铜粉两大类上,其成本相对较高,添加量也较大,因此当前需要解决的主要问题是:
(1)在保证涂料屏蔽性能的同时提高填料在基
料中的分散性以降低填料用量;
(2)开展可回收性屏蔽涂料的研究,提高导电填料的利用率。国外近年来已在此方面取得了很大的进展,并有一系列产品问世,国内尚属空白。
(3)开展水性导电涂料以适应环保的要求,尤其是适用于屏蔽室内墙使用的导电涂料,以取代现有的普遍以金属板材建造屏蔽室的技术。在此方面国内与国外差距也很大:目前国内导电涂料一般均为溶剂型;国外的Acheson公司的ElectrodagSP-008A即为水性涂料,可以用于建筑使用。
(4)制备低成本的高效屏蔽材料。
导电高聚物如:聚苯胺、聚噻吩、聚吡咯等,具有接近金属的导电性能且其导电率可以通过改变分子间共轭双键的数目来调节,如能解决其工业化的问题,在电磁屏蔽领域的前景不容忽视。
亚微米、纳米材料的体积效应和表面效应使其具有特殊的物理、化学特性,在电磁场的辐射下,原子、电子运动加速,促使磁化,使电磁能转化为热能,从而增加了对电磁波的吸收性能,而且由于比表面积高,易于形成导电网络。为此,纳米材料的应用是研制屏蔽涂料的趋势。
参考文献:
[1] 金磊. 电磁辐射灾害及其安全设计对策初论[J]. 21 世纪
青年学者论坛24(1): 67-71.
[2] 冯桂山. 计算机泄密机理评述, [J]. 系统工程与电子技
术,1995, (12): 34-38.
[3] 杜仕国.电磁屏蔽材料的现状与发展[J].化工新型材料,
1995, (4): 12-16.
[4] SJ 20524-1995 材料屏蔽效能的测量方法[S].
[5] Paul C R. Introduction to Electromagnetic Compatibility
[M]. New York: Wiley, 1992.
[6] 赵斌, 张国庆, 程起林. 超细银粉在导电涂料中的应用
[J].涂料技术, 2000, (1): 40.
[7] 高晓敏, 刘际伟,刘永华. 分散助剂对丙烯酸基电磁屏蔽导
电涂料性能的影响[J]. 材料科学与工程, 2002, (3): 410.
[8] CN1130553A.
[9] 林硕, 铜系复合涂料导电稳定性的研究[J]. 功能材料,
1999, 30(3): 288-289.
[10] Acheson(美)公司产品简介.
[11] 四川大学硕士论文.
[12] CN1200390A, CN1200390A.
[13] 互联网资料.
作者简介:李周波(1978-),男,四川省巴中市人,2000 年毕业于天津大学,现为海军技术装备研究所工程师,目前主要从事防
腐涂料、功能涂料的研究。(E-mail: funny@eyou.com), Tel: 010-66975507.
论文来源:中国功能材料及其应用学术会议,2004年,9月12-16日