方征平,冯煜,金邦梯
(浙江大学高分子复合材料研究所,浙江杭州310027)
Curing kinetics of the binary blends of cyanate ester and epoxy resin
FANG Zheng-ping, FENG Yu, JIN Bang-ti
(Institute of Polymer Composites, Zhejiang University, Hangzhou 310027, China)
Abstract:Curing process of the binary blends consisting of different amount of cyanate ester and epoxy resin was studied by the means of differential scanning calorimetry (DSC) and Fourier transform infrared analysis (FTIR). The apparent activation energy values of CE/EP blends with mass ratio of 10/0, 9/1, 7/3, and 5/5 obtained by ozawa treatment of DSC results equal to 74.3, 72.1, 60.8 and 72.7kJ/mol, respectively. Incorporation of small amount of epoxy resin could accelerate the curing process of cyanate ester. Kinetic parameter obtained by FTIR was in good agreement with that by DSC. Furthermore, it was found that the curing process was a first-order reaction for both cyanate group and epoxy group. During curing process, the transformation of cyanate group was much faster than that of epoxy group, the apparent activation energy values of CE/EP (7/3) calculated by FTIR ways equals to 55.5 kJ/mol.
Key words:cyanate ester;epoxy resin;blend;curing kinetics
摘要:采用DSC和FTIR研究了氰酸酯树脂/环氧树脂共混体系的固化行为,考察了环氧树脂含量对体系的固化动力学参数的影响。纯的氰酸酯树脂及氰酸酯树脂/环氧树脂共混物(质量比为9:1,7:3,5:5)的表观活化能依次为74.3、72.1、60.8、72.7 kJ/mol,说明少量的环氧树脂可促进氰酸酯树脂的固化反应,过量则抑制。同时还发现,固化过程中氰酸酯树脂的转化速率远大于环氧树脂,固化反应对氰酸酯基和环氧基均是一级反应。
关键词:氰酸脂树脂;环氧树脂;共混物;固化动力学
中图分类号:TQ323.9 文献标识码:A
文章编号:1001-9731(2004)增刊
1 引言
氰酸酯树脂(Cyanate Ester Resin, 简称CE)性能优异,其介电常数低,使用温度高,强度高,工艺性能好,是一种具有良好前景的高性能基体树脂。但是,由于氰酸酯树脂结构高度对称且致密,因此较脆,不能很好地满足使用要求,故有必要对其增韧[1]。为了改善氰酸酯树脂的韧性,人们提出了许多行之有效的增韧方法。其中用环氧树脂(EP)与其共固化可降低交联密度,从而达到增韧的目的。此外,环氧树脂的价格远低于氰酸酯树脂。这样,采用环氧树脂增韧氰酸酯树脂将能大幅度地提高复合材料的性能/价格比,无疑这将对于氰酸酯树脂的推广应用有积极的影响。
对于氰酸酯树脂/环氧树脂共固化物的性能和固化反应已经有大量的研究[2~4],但是对于其固化动力学的研究限于催化剂如环烷酸钴/壬基酚的含量对其动力学参数的影响研究,而最重要的影响因素-共混物的组成对其固化动力学参数的影响却鲜有涉及。因此,本文重点研究氰酸酯树脂/环氧树脂二元共混物的组成对其固化动力学影响。
2 实验
2.1 原料与试剂
双酚A型氰酸酯树脂,熔点79°C,纯度>98%,中国航空工业第一集团公司济南特种结构研究所;双酚A型环氧树脂,环氧值0.5,江苏吴江市合力树脂有限公司;丙酮,分析纯,浙江巨化集团公司试剂厂。
2.2 氰酸酯树脂/环氧树脂共混物的制备
按配比称量氰酸酯树脂与环氧树脂单体,混合这两种单体后放在温度为95℃的水浴中加热,搅拌10min至均匀熔体备用。实验中采用的氰酸酯树脂与环氧树脂的质量比有以下几种:10:0、9:1、7:3、5:5。
2.3 示差扫描量热分析
用PE公司的Pyris-1型热分析仪测定共混物的示差扫描量热(DSC)曲线。测定条件如下:升温速率分别为5℃/min、10℃/min、15℃/min和20℃/min,温度范围是25~280℃。
2.4 红外光谱分析
将氰酸酯树脂/环氧树脂(质量比为7:3)共混物用丙酮溶解,溶液涂于KBr盐片上,置于设定温度的烘箱中固化,等温固化的温度有:160℃、185℃、200℃,固化一定的时间后用德国Bruker公司的Vector-22型傅立叶变换红外光谱仪测量其红外光谱(FTIR)。
3 结果与讨论
研究热固性热固性树脂固化动力学的常用方法有DSC法、FTIR法、Avrami法等。在本研究中,对氰酸酯/环氧树脂共混体系的固化动力学用DSC法和FTIR法进行研究。
3.1 示差扫描量热法研究共混物的非等温固化动力学
DSC用于研究热固性树脂的固化动力学的方法有等温法与非等温法两种。本研究采用非等温法,其优点是:试样用量少,测定时间短,测定次数少。测定结果见表1。
从表中可以看出,对于同一体系而言,随着升温速率的提高,体系固化的峰值温度向高温方向移动。同一升温速率下的峰值温度则先是随着环氧树脂含量的增加而降低,然后又增加。这可能是由于固化反应中的氰酸酯树脂与环氧树脂互为催化剂,固化反应存在最佳配比,此时可以使固化的温度大为降低,而离该组成比较远的地方则需要更高的峰值温度。
对于非等温DSC法,计算固化反应的表观活化能主要方法有Kissinger法[5]与Ozawa法[6]。Kissinger法有两个假定:一是假定反应曲线峰顶温度处的反应速率最大,二是假定反应为n级反应。这种方法用于DSC研究时,第一个假定基本成立,因为反应曲线峰顶处dH/dt最大,而反应速度dα/dt与dH/dt成正比,也是最大(由下面的研究可知,固化时放热主要为氰酸酯的贡献)。但氰酸酯树脂与环氧树脂的固化反应很复杂,第二个假定不一定成立。
Ozawa法是一种积分法,不考虑反应机理函数的具体形式。其实验基础是:对于同一个固化体系而言,DSC曲线峰顶处的反应程度与升温速率(r)无关,是一个常数。本实验中采用Ozawa法对数据进行处理。
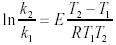
根据Ozawa方程:
式中F(x)是与转化率有关的函数,∆E是自由能,R是气体常数,A是常数。在相同的转化率下,以lgr 对(1/Tp)(Tp=273.15+ tp)作图可得一直线(图1),斜率为k = −0.4567∆E/R,所以表观活化能∆E为−kR/0.4567,计算结果见表2。
氰酸酯树脂本身难以热固化,只有在催化剂的存在下才有较大的反应活性。环氧树脂的端基为羟基,而羟基上的氢恰恰对氰酸酯树脂的固化有强烈的催化作用。因此环氧树脂的加入使固化反应的活化能有较为剧烈的变化。
当环氧树脂的比例由0变为30%时,体系的固化反应活化能大幅度降低,其中环氧树脂比例为10%的共混物的固化反应活化能与纯氰酸酯树脂相比下降不多可能是由于一些杂质消耗了所加环氧树脂的活性单元。而环氧树脂比例继续增加时,固化反应活化能重新增加,这是因为对于一个需要催化剂的反应来说,催化剂的用量存在一个临界量,超过该临界量之后,过量的部分并没有催化效果。当纯氰酸酯树脂与环氧树脂作用时,少量的环氧树脂就足以使氰酸酯树脂/环氧树脂共固化体系的氰酸酯树脂在较低的能量下反应,但在环氧树脂含量较高时,起催化作用的环氧树脂的含量并没有增加,而过量的环氧树脂固化时又需要较高的能量(这点从下面的FTIR研究中也可以看出来)。因此环氧树脂含量较高时,氰酸酯树脂/环氧树脂共混体系的固化反应的表观活化能较高。
固化反应的活化能反映了固化反应的难易程度。从表1和2可以看出,氰酸酯树脂与环氧树脂的比例对其固化行为有很大的影响。适当地选取两者的配比,将能大大的降低固化所需要的温度。
3.2 红外光谱法研究共混物的固化过程
固化反应的动力学可以根据树脂的反应性基团的含量随时间、温度和固化处理的条件的变化而得到。氰酸酯树脂/环氧树脂共混体系在固化过程中的反应非常复杂,对此人们已经作了广泛而深入的研究,一般认为有以下几种主要反应:
为了使所得到的数据比较准确,采用了在一个温度点时,同一个盐片上的树脂涂层在不同的固化时间点作FTIR,这样使得同一温度下的数据有较好的可比性,同时严格控制涂层的厚度,使特征峰的高度在整个固化过程中的透过率介于0.2~0.8之间,保证吸光度与浓度之间有较好的线性关系。CE/EP(7/3)共混体系典型的傅立叶变换红外谱图见图2。
在固化过程中,各个基团的特征峰主要有以下变化:
(1)在1600、1500cm−1为苯环的骨架伸缩振动峰,830 cm−1的峰是苯环的C—H面外弯曲振动峰。在2900 cm−1左右的峰是甲基、亚甲基的对称和不对称伸缩振动峰。在固化的过程中,这些峰的高度基本上保持不变,这很大程度上得益于在一个温度下只使用一块盐片,保证了树脂涂层的厚度不变。
(2)2270 cm−1,2235 cm−1处的两个强峰是氰酸酯树脂的氰键的伸缩振动峰。在固化的过程中,该峰迅速减弱。而氰酸酯树脂环化三聚生成的三嗪环(triazine)结构的特征峰(1565 cm−1、1372 cm−1和1120 cm−1)迅速增强。
(3)915 cm−1左右是环氧基的特征吸收峰。该峰的强度在固化过程中逐渐减弱。在1240 cm−1左右有一处较强的吸收峰,它是Ar—O醚键伸缩振动特征峰,这说明环氧树脂的羟基参加了反应。环氧树脂的羟基与三嗪环反应生成噁唑啉结构,其特征峰在1760 cm−1和1695 cm−1[3]。
3.3 FTIR对CE/EP(7/3)共混体系185℃下固化动力学研究
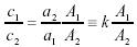
利用FTIR也可对固化动力学进行定量分析[7],根据Beer-Lambert定理:A=abc
其中A是基团的吸光度,a为基团的吸收率,b为样品厚度,c为浓度。不同浓度的同一物质在相同波数处具有相同的吸收率,即吸收率没有浓度依赖性。
对于同一种混合物中的不同波数处的吸光度A1、A2有:
因为对于同一种混合物而言,样品的厚度是一样的,而两者的吸收率之比又是常数。所以:
(4)
在固化过程中,氰酸酯树脂/环氧树脂共混体系中的苯环浓度保持不变,可以作为内标基团。如上所述,苯环在1500cm−1和832cm−1处均有特征峰。在本实验中,选取1500cm−1处的峰为内标,因为该官能团的在固化过程中的峰形与强度随转化率变化很小,而且该峰的强度也比较大,作为内标所带来的计算误差相对较小。而转化率α 的定义为:
式中的A1和A0分别指待测基团的吸光度和参比基团的吸光度,可以从谱图上直接测量相应的峰高得到。根据以上各式,我们可以得到共混体系中的氰酸酯基和环氧基的转化率随时间的变化,见图3。
从图中可以看出,在树脂固化的早期,氰酸酯树脂的转化率很快达到一个较高的值,然而随着转化率的提高,转化率增加趋于缓慢。这是因为体系的粘度变大,分子的运动受阻,交联反应的速度降低,即反应的决定因素发生了从分子的活化转化为分子的扩散的转变,同时未反应的氰酸酯树脂的量也减少,其反应速率也相应减少。
从图中还可以得知,在固化的过程中,氰酸酯树脂的反应速率要远远大于环氧树脂的反应速率,如在185℃反应30min时,氰酸酯树脂的转化率已经大于90%,而环氧树脂的转化率则仍只有10%左右。
根据不同温度下的转化率(图4),计算各温度时的ln(1−α),并对时间t作图,可以得到一系列直线(图5),因此固化过程中氰酸酯基和环氧基的反应都属于一级反应。
因为两者发生的都是一级反应,所以满足Arrhenius方程:
(6)在相同的初始浓度和相同的转化率时,有下式成立:


从ln(1−α) ~ t图中得到固定转化率时的t和T,取了不同转化率时的lnt对1/T作图,得到一系列直线(见图6),从直线的斜率就可以求得活化能E为55.5kJ/mol。与DSC法得到的活化能60.8 kJ/mol比较接近。
前人的工作[8]发现,对于纯的氰酸酯树脂热固化,固化反应是一级反应,但是,在催化剂(如环烷酸钴/壬基酚)存在下,固化反应是二级反应。这与在环氧树脂催化下的反应是一级反应截然不同。
4 结论
(1)DSC研究表明氰酸酯树脂/环氧树脂共混体系的固化过程比较复杂,其动力学参数受氰酸酯树脂的含量影响较大,氰酸酯树脂与环氧树脂的重量比为10:0、9:1、7:3、5:5的体系的表观活化能依次为74.3、72.1、60.8、72.7 kJ/mol,说明少量的环氧树脂可促进氰酸酯树脂的固化反应。
(2)FTIR研究表明在氰酸酯树脂/环氧树脂共混体系(7/3)的固化过程中,氰酸酯树脂的转化速率远大于环氧树脂的转化速率,固化反应对氰酸酯基和环氧基均是一级反应,其表观活化能是55.5kJ/mol,与DSC的研究结果比较接近。
参考文献:
[1] Fang T, Shimp D. A [J]. Prog Polym Sci, 1995, 20: 61-118.
[2] 陈平, 程子霞, 金镇镐, 等. [J]. 高分子学报, 2001, (2): 238- 240.
[3] 包建文, 唐邦铭, 陈祥宝. [J]. 高分子学报, 1999, (2): 151- 155.
[4] Kim D S, Shin J H [J]. Polym. Eng. Sci, 2000, 40(6): 1429-1434.
[5] Kissinger E [J]. Anal. Chem, 1957, 29: 1702-1706.
[6] Ozawa, T J, [J]. Thermal Anal, 1970, 2: 301-310.
[7] 沈德言. 红外光谱在高分子研究中的应用[M]. 北京: 科学出版社, 1982.
[8] Osei-Owusu A, Martin G. C. Gotro J. T. [J]. Polym Eng Sci, 1992, 32(8): 535-541.
作者简介:方征平(1963-),男,浙江江山人,教授博导,长期从事多组份多相高分子材料的结构与性能研究。(E-mail: zpfang@zju.edu.cn),Tel: 0571-87951295
论文来源:中国功能材料及其应用学术会议,2004年,9月12-16日